Ankara Büyükşehir Belediyesi Dükkan Satış İhalesi Resmi Gazete İlanı
25 Ekim 2018 tarihli Resmi Gazete ile Ankara Büyükşehir Belediyesi dükkan satışı için ihale ilanı yayımladı.
Yayınlanma:
Güncelleme:
25 Ekim 2018 tarihli Resmi Gazete ile Ankara Büyükşehir Belediyesi dükkan satışı için ihale ilanı yayımladı. Detaylar haberimizde...
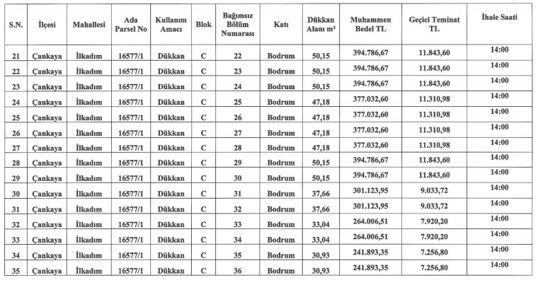
Mülkiyeti Ankara Büyükşehir Belediyesi'ne ait olan 35 adet dükkanın ihale yöntemi ile satılacağı Resmi Gazete ilanı ile duyuruldu.
Ankara Büyükşehir Belediyesi dükkan ihaleleri kapalı zarf usulü ile 8 Kasım 2018 tarihinde Hipodrom Caddesi üzerinde yer alan Belediye Hizmet Binasının Encümen Salonu içerisinde yapılacak.
Ankara Büyükşehir Dükkan İhalesi İlanı

Ankara Büyükşehir Belediyesi Satılık Dükkan İhalesi Listesi


Emlak365.com
NOT: BU HABERİN İZİNSİZ, AKTİF LİNK VERİLMEDEN, BİR BÖLÜMÜNÜN ALINMASI VEYA TAMAMININ KOPYANIP KULLANILMASI DURUMUNDA HUKUKİ SÜREÇ BAŞLATILACAKTIR…"
Emlak Haberleri









